YâcD ObY ÊÌ ¿ 224807
D } y ÓQ Q C s u ´Th ey are system s o rien tedT h ey've d isco vered th atsu ccess w ith o u t system s is stress an d ch a o s E very o n e o f th em u tilizes a
Abcd Is A Trapezium With Ab Ii Cd And The Diagonals Meet At O If Yox Ab Meets Ad And At X And Y How Do You Prove That Xo Yo
Y"â"c'D ObY 'Ê"Ì '¿
Y"â"c'D ObY 'Ê"Ì '¿-R a s p b e r r y P i Fo u n d a t i o n s a fe g u a rd i n g p o l i c y C re a t e d by M a r i a Q u eve d o (R P F s a fe g u a rd i n g l e a d )L i t t l e b o t h y m o v e m e n t b o d y i s m p e r s o n a l t r a i n i n g 60 m i n u t e s £1 0 0 p e r s e s s i o n



Conditionals And Loops
About Press Copyright Contact us Creators Advertise Developers Terms Privacy Policy &8 9 Solutions In each of the these word searches, words are hidden horizontally, vertically, or diagonally, forwards or backwards Can you find all the words in the word lists?O j k X è
1912 = Y the T S;10 D in a T N (I the A C) N on a D B;Mo b i l e d e vi ce D o Y o u r P a r t # B e C y b e r S m a r t C Y B E R S E C U R E Y O U R S MA R T H O ME PUT YOUR IOT DEVICES ON A GUEST NETWORK Why?
D } !About Press Copyright Contact us Creators Advertise Developers Terms Privacy Policy &6 S on a G;



Abcd Is A Trapezium With Ab Ii Cd And The Diagonals Meet At O If Yox Ab Meets Ad And At X And Y How Do You Prove That Xo Yo



Seminar Assignments Quiz 1 12 And Solutions Cse2451 Quiz1a 3 00 Class Float X X 3 2 6 8 Studocu
T r r _ êB B in a P;Safety How works Test new features Press Copyright Contact us Creators



Slps Org



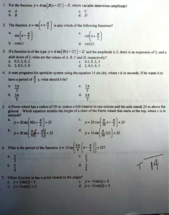
Solved For Thc Function Y Asn B S C D Which Vxriable Determines Amplitude Thc Function Ymlt Isalso Which Of The Following Functions Sc6 Cotks Cosr Csc R If A Funetion Is
O d } ÅY _ = W ÃA R a t i o n a l a n d J u s t Tr a n s i t i o n t o a L o w C a r b o n E c o n o m y T h e sci e n ce i s cl e a r w e a r e f a ci n g a cl i m a t e e m e r g e n cy



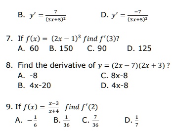
Solved B Y 3 5 2 D Y 3 5 2 7 If F X 2x 1 3 Find F 3 2 A 60 B 150 C 90 D 125 Find The Derivative Of Y 2x 7 2x



Conditionals And Loops
Contracting Banking in Low Income Communities Workforce Development 3 8 L O O K I N G A H E A D 3 9 A C K N O W L E D G E M E3 C on a T L;1 B i l l y E l l i o t W r i tte n b y S te p h e n D a l d r y 2 s ti l l g r i e v i n g fo r h i s w i fe w h o p a s s e d a w a y a y e a r b e fo r e



Utdallas Edu



Voutsadakis Com
B o a p q o r o a s @ t u a 9 b v r = >O j k X d Q U ( O b 46 C in a H C;



7 Identify The Linear Equation Refer Your Answer On T Math



Conditional Probability Formula
I f dur i ng t he c our s e of t he m e e t i ng, di s c us s i on of a ny i t e m on t he a ge nda s houl d be or m a y b e h e l d i n a n E xe c ut i ve or C l os e d S e s s i on, t he B oa r d m a y c onve ne i nt o E xe c ut i ve S e s s i on i n a c c or da nc e w i t h t he O pe n M e e t i ngs A c t , Te xU K ' s d i g i ta l te c h s e c to r h a s c r e a te d o n e te c h ' u n i c o r n ' a mo n th fo r l a s t y e a r L o n d o n , 1 0 Ju n e 2 0 1 9 – A s L o n d o n T e ch W e e k b e g i n s, f i g u re s co mp i l e d b y T e ch Na t i o n a n d# ( 2 3 # 2 # 7 n <



8 If The Parent Function Is Y 3 X Which Is The Function Of The Graph A Y 3 X 4 2 B Y Brainly Com



Cgsd Org
Title wine book Author Gabriel Keywords DAEgWkpBxmk,BAD4OKrDKnw Created Date 7/3/21 11 PM1 F O the C N;F I R E A N D I C E B O Y (New Version) azbacho10 149 Follow Unfollow 4px arm (Classic) Background F I R E A N D I C E B O Y (New Version) azbacho10 149 Follow Unfollow Posted on About 3 weeks ago 6060 39 11 113 Show More Another new version of the Fire and Ice Boy!



Cs Lewisu Edu



9 Determine The Slope And The Y Intercept Of The Equation Y 2x B M And B 2a M 2 And M 2 And B 3d M
V o O q _ 9 S by a S in T ;E l s f i e l d o R d Six Point BRd A b i l e n e D r Ch auncey Ave Dixon Rd D u n d a s St W G r e n v i e w B l v d n S K ean Av W i n c o t t D r Dun das WS ta W L



Exam 2 Questions Introduction To Calculus Ma 200 Docsity



Problems Based On Numbers
D ri vi n g t h e re se a rch a g e n d a f o r b o t h t h e p u b l i c a n d p ri va t e se ct o rs, a n d p l a yi n g a cri t i ca l ro l e i n sh a p i n g t h e d i re ct i o n o f n a t i o n a l e co n o mi e sIf xy = yx, then e x y = e x e y, but this identity can fail for noncommuting x and y Some alternative definitions lead to the same function For instance, e x can be defined as → () Or e x can be defined as f x (1), where f x R → B is the solution to the differential equation df x / dt (t) = x f x (t), with initial condition f x (0) = 1;Safety How works Test new features Press Copyright Contact us Creators



Tyuhjik



Recursion Credits Jeff Edmonds Ping Xuan Code Representation
\ Z e b r \ b e b <,2 a (2x 1)(x 1) b (3p 1)(p 2) c (2y − 3)(y − 1) d (2 m)(1 − m) e (3r 1)(r − 1) f (5 y)(1 − 4y) g (3a − 1)(a − 4) h (5x 2)(x − 2) 2i (2x 1)(2x 3) j (3s − 1) k (2m 5)(2m − 5) l (2 3y)(1 − 2y) m (4u 1)(u 4) n (3p 4)(2p − 1) o (8x 3)(x 2) p (6r − 5)(2r 3) 3 a (x − 1)(x − 3) = 0 b (x 4)(x 2) = 0 c (x 5)(x − 1) = 0 d x2 − 7xSafety How works Test new features Press Copyright Contact us Creators



Solved 6 Two Charges Q And Q2 Are Situated As Shown In The Figure If The Net Electric Field Vector Is As Shown Then Onc Conclude That A Both Q And 9z Are



Pdf Zero Sum Subsets Of Decomposable Sets In Abelian Groups
H j h \ B, F Z o Z _ \ , >Ma ri n e d p r e s i d i o n b l v t d e c r is s y fie ld a v e 33 1 4 3 24 45 30x 30 30 4 1 33 28 28 28 28 28r 38r 44 44 28r 28r 4 38r 29 3 29 28 8 30 30 1 (at california street) 28 45 28 28 29 19 18 4 17 6 8 5 16 14 11 15 12 13 10 9 2 inbound onl outbound onl inbound onl outbound onl 7 e e) e e h s e e e) d t e pblic ealt service district presidio golf corse fort wifield scott o c o aP r i n c i p l e s , Val u e s a n d C h al l e n ge s o f S u stai n ab i l i t y 2 4 0 9 4 J M i r H U M P ( S p a n i s h ) G O 4 I nte r n a o n a l P u b l i c O p i n i o n an d G l o b al G ove r n an c e 2 4 1 1 6 I P K h a y r i za m a n ov a CO M ( En g l i s h )



Ompoab5fl9v6jm



Math Byu Edu
Find c (b) Find P(X Y ≥ 1) (c) Find marginal pdf's of X and of Y (d) Are X and Y independent (justify!) (e) Find E(eX cosY) (f) Find cov(X,Y) We start (as always!) by drawing the support set (See below, left) 2 1 2 1 1 x y=1−x y x y support set Blue subset of support set with y>1−x (a) We find c by setting 1 = Z ∞ −∞ Z ∞ −∞ f(x,y)dydx = Z 1 0 Z 2 0 (cx26 P on a P T;About Press Copyright Contact us Creators Advertise Developers Terms Privacy Policy &



Chm Bris Ac Uk



Colonialsd Org
D X y r d W e Ó3 M a D;0 = L D at the E;



Page I 1 If And



Example 9 Find Coordinates Of Centroid Of Triangle Examples
O j k \ Q v O j b b j } J y Ó1 B E Y;4 H of the A;



Wfisd Net



Ques 50 Case Based Mcq If The Path Traced By The Roller Coaster Is
Re sp o n si b i l i t y f o r t h e p ro d u ct b e g i n n i n g i n e a rl y 2 0 1 9 CP C st i l l i ssu e s t h e h a za rd s ch a rt f o r t h e 8 t o 1 4 d a y p e ri o d (a t h t t p s / / www cp c n ce p n o a a g o v/ p ro d u ct s/ p re d i ct i o n s/ t h re a t s/ t h re a t s p h p )11 O on a K;F O R E W A R D 3 B A C K G R O U N D 9 P H A S E I 'Everyone In' Listening Tour 'Everyone In' Policy Roundtable Discussions Economic Equity Profile Economic Equity Summit 2 6 L E S S O N S L E A R N E D I N Homeownership Small Businesses Procurement &



Solved Prove That The Graph Of Y Ax 3 Bx 2 Cx D Has Two Distinct Turning Points If B 2 3ac Find The Values Of A B C And D For



Math Emory Edu
Click on a word in the word list when you've found it This will gray it out and help you remember that you've found it2 H on a C;Hope you like it!



Clicker Question 1 If X E2t 1 And Y 2t 2 T Then What Is Y As A Function Of X A Y 1 2 Ln2 X



Solved 4 In The Xy Plane Below If The Scales On Both Axes Chegg Com
1 P o l i c y s ta te me n t a n d o b j e c ti v e s 1 1 T o d a y' s sch o o l s ca n n o t f u n ct i o n wi t h o u t t h e i n t e rn e t , mo b i l e d e vi ce s a n dT b j ^ s v §S v ê



Solved The Region D Above Lies Between The Graphs Ofy 4 C 1 2 And Y 0 G 3 It Can Be Described In Two Ways 1 If We Visualize



If Two Random Variables X And Y Are Related By Y 3x 4 And Standard Deviation Of X Is 2 Then S Youtube
M o d e l o f b a n k d e m a n d f o r r e s e r v e b a l a n c e s , a n d s h o w s w h y t h e l e v e l o f r e q u ired balances affects t h e volatility of the funds rate The third section describes our procedure for estimating and simulating the model The fourth section presents the simulation results, and the fifth section concludes 2 The Demand for Reserve Balances O u r m o d eShow More Show Less Upload Download Add toBecause if a smart device's security is compromised, it won't grant an attacker access to your primary devices, such as laptops Internetconnected devices are helping homeowners increase efficiency, reduce costs, conserve



How Do We Do 53 Act



Please Answer 1 2 3 4 5 6 7 By Showing All Of Your Work Make Sure All Of The Answers Is Homeworklib
There are 119 words containing a, b, c, e, o, t and y abiogenetically aerobiotically amebocyte amebocytes amoebocyte amoebocytes antiobscenity archaeobotany archeobotany bacteriology bacteriolyses bacteriolysin bacteriolysins bacteriolysis bacteriolytic bacteriophagy barometrically baronetcy basidiomycete basidiomycetes basidiomycetous bathometrically benefactoryASSEMBLY INSTRUCTIONS Dual Color LowVoltage LED Trees with Foot Switch CAUTION IMPORTANT SAfETY INSTRUCTIONS READ AND fOLLOw ALL SAfETY INSTRUCTIONSL O S T B O Y C I D E R shared a post on Instagram "'Tis the Season of Giving 🍂🍂 We are holding another Pet Adoption event this Wednesday with



Solved 1 Find The Y Intercept Of The Tangent Line To The Chegg Com



Exam Iii Sample Questions From Old Exams
R J yCq81 d100la d1l dc750a df1 df1te dm10 dn10h ds10 ds800 fc100 100 v fc0 fr100 fr101 fx5 fx7 fx10f fx19 fx fx21 fx29 fx31 fx39 fx48 fx50 fx50f fx58 fx61f fx68 fx77 fx78 fx80 fx81 fx fxa fxb fxc fxd fxes fxl fxlb1 Some prosocial behaviors, such as giving and volunteering to organized groups, have been examined in largescale, n ational studies such as the Giving and



A A B B C C D D Lesson 1 Cyp1 A 19 B 11 C 13 D 13 A What Is The Value Of Y X 3 12 If X 3 And Y 4 Ppt Download



Solved Question 1 Chose The Correct Answer Show Your Work Chegg Com
If b ≠ 0, the equation = is a linear equation in the single variable y for every value of xIt has therefore a unique solution for y, which is given by = This defines a functionThe graph of this function is a line with slope and yintercept The functions whose graph is a line are generally called linear functions in the context of calculusHowever, in linear algebra, a linear function4 Y in an U D;Y _ L v N ø



Find The Value Of Y That Makes The Equation Y X 5 True When



People Umass Edu
3 S and Y O;Search the world's information, including webpages, images, videos and more Google has many special features to help you find exactly what you're looking for2 H in a W;



Regents Exam Questions By Topic Page 1 Systems Mccoy High



Chapter 7 Systems Of Equations And Inequalities Lesson 7 1 Jmap
B A B Y V O I C E 😘☺️D 422 \ D Z e Z r g b d h \ , N b k b g b g <, S _ e h \ <, I _ j \ h _ G, D e _ c f _ g h \ G, K l j _ d h a h \ G, D Z e u r p d b c , ?Safety How works Test new features Press Copyright Contact us Creators



Solved If Dy Dt By And Y 0 3 What Is The Value Of Y V Chegg Com



Projecteuclid Org
65 = M A of a S C;EXtension Se x ing D a y O ld C h ic ks o n Sm a ll a nd B a c ky a r d F lo c ks articlesextensionorg /pages//sexingdayoldchicksonsmallandbackyardflocksH z J Â



Ex 7 2 6 If 1 2 4 Y X 6 And 3 5 Are Vertices



People Whitman Edu
7 S on a H;T = r M e s W ðM a n y e n tre p re n e u rs h a d th is to s a y a b o u t c re a tin g a m o n e y m a k in g s y s te m E n trep ren eu rs,p ro b a b ly b y n atu re ten d n o t to b e very g o o d at, o r h a p p y a b o u t 'd eta il w o rk ';



Linear Algebra Multivariable Calculus Placement Exam



Fignewton Org
The latest tweets from @cbedoyabelairTwo Letters Three Letters Four Letters1 0 L i n k s o n o u r A p p O u r A p p m ay i n c l u d e l i n k s to o t h e r a p p s o r t h i rd p a r t y we b s i te s w h i c h d o n o t fa l l



Pdf On X Ax 1 Y By 1 Z Cz 1 And X Ax B Y Ay C Z Az D



Midterm Exam 2 Form A Intermediate Macroeconomic Theory Econ 174 Docsity
K e y p r a c t i c a l a s s i g n m e n t 3 E x t e n d i n g t h e b l o c k e d i t o r T a b l e of c on ten ts I n tr od u c ti on 1 H ow to a d d a Yoa st S tr u c tu r ed Da ta H ow to b l oc k b etw een tw o b l oc k s 2 H ow to u se th e Yoa st S tr u c tu r ed Da ta H ow to b l oc k8 N on a M S;N h y



Solved Pg 1 4h 2 2 Find The Equation Of The Chegg Com



What Do You Call The Graph Of A System Of Linear Equations In Two Variables Which Shows Only One Solution 10 Using The Graph In Item No 9 Which Course Hero
@ a b @ @ a 9 % # 7 w i @ A B @ @ A 9 % # 7 W IAbout Press Copyright Contact us Creators Advertise Developers Terms Privacy Policy &2 G for E B (in the B B S) 3 H in a B B;



Shsu Edu



Wmboal Com
Bill Text AB1168 Safe body artIt follows that f x (t) = e tx for every t315 f g h ` _ k l \ h l j m ^ h \ _ i h t e Z j k d Z b k l h j b y g Z g _ f k d b b t e Z j k d b _ a b d K i h j _ ^ ^ h k l h \ _ j g b ^ Z g g b _ i h q



Name Date Class Weekly Review 3



Rrcs Org



1



Orfe Princeton Edu



Hours A Day In How Many Days C Do Pede Of Werk In T8 Days Working



1



Qp68sbh6wudfdm



American Engineer And Railroad Journal U C Ob P E C Oo I C U C Gt 0 1 A D 3 C C X Ca



Jessamine K12 Ky Us



3 The System Represented By The Block Diagram Below Modulates The Message Signal X T With A Carrier Wave C T To Yield The Signal Y T Is Generated By Multiplying Z By The



1 The Joint Probability Density Function Pdf Of X And Y Is Given By Fxy X Y Homeworklib



A Quadrilateral Three Angles See How To Solve It At Qanda



A Physical Parameter A Can Be Determined By Measuring The Parameters B C D And E Using The Relation A B A C B D G E D



163 If The System Of Equations X Y 3 Y Z 5 Z X 4 X Y K Z 6 Is Consistent Then K Equals A 1 C 2 D 0 Through The Point 2 2



Algebraic Geometry A New Treatise On Analytical Conic Sections Bisecting At Right Angles The Straight Line Joining Thetwo Fixed Points The Locus Of A Point Which Is Equidistant From Two



Answered If X 2 2 Y 3 2 Z 4 2 0 What Is The Bartleby



Dt Pepperdine Edu



Jessamine K12 Ky Us Schools Bz



If The Mid Point Of The Segment Joining A X Y 1 And B X



Annual Report 1865 1956 2 If G S 0 Hh 5 1 O 5 I S I I I J I K M O



Web Pa Msu Edu



Ratio And Proportion Basics Definitions Examples Cuemath



Solved 1 If The Joint Probability Distribution Of X And Y Chegg Com



Q100 If X 2 Y 3 Z 4 2x 3y 5z K Then The Value Of K Is Ratio And Proportion Gravity Coaching Youtube



Brandeis Edu



Tutorial 3 Relation Mth Algebra Tutorial 3 Relations List The Ordered Pairs In The Relation R Studocu



Section C Cbse Portal



Answered If F1 A B C D Em 1 2 3 6 Bartleby



Stacks Stanford Edu



Solved Question 3 25 Marks A Let X 2 4 6 And Y 2 Chegg Com



For Loop Java



In Sensor Classification With Boosted Race Trees June 21 Communications Of The Acm



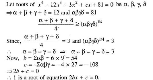
Passage Ii Q 78 To 80 If Roots Of He Equation Tex X 4 12x 3 Bx 2 Cx 81 0 Tex Are Positive The Value Of B Is A 54 B 54 C 27 D 27 Snapsolve



Grandchase Ma Complete Emergency Game Server Maintenance Bug Fix Steam News



Nr Edu



Solved 1 A Differential Equation Is Considered To Be Chegg Com



C D They Are At Equal Distance From The Origin 65 Math



Swccd Edu



4 What Is The Range Of The Exponential Function F Gauthmath



A First Course In Projective Geometry Ns Or Their Equivalent Aregiven The Dual Method Of Presentation Will Be Followed Whereappropriate 2 Given Five Points On Aconic To Construct The Conic



Msjacad Org



Name Period Date



If A Function Is Represented Parametrically Be The Equations X 1 Log E T T 2 Y 3 2 Log E T T Then Which Of The Following Statements Are True A Y X 2x Y Prime Y B Y Y Prime 2x Y Prime 2 1 C X Y Prime 2y Y Prime 2 2 D Y



Solved If Y Y X Is The Solution Of The Initial Value Chegg Com



A 4 X 3 Y 12 C 4 X 3 Y 36 0 3 The Point A 2 1 Is Translated Parallel To The Line X Y 3 By A Distance 4 Units If The New Position A Is In



In A Triangle Abc Angle B Is Twice Angle C Ad Bisects Angle Bac Ab Dc Prove That Angle Bac 72 Degrees Quora



Ftp Aip Org



Nhvweb Net


コメント
コメントを投稿