® t_X C X^v 294688-R t x v x c
L X V I $ H T X T T O O 365 likes 2 talking about this Tatuaje Facebook is showing information to help you better understand the purpose of a PageSee more of L X V I $ H T X T T O O on Facebook Log In Forgot account?(c) Periodic u(−L,t) = u(L,t) and ux(−L,t) = ux(L,t) We look for solutions of the form u(x,t) = X(x)T(t) where X and T are function which have to be determined Substituting u(x,t) = X(x)T(t) into the equation, we obtain X(x)T′(t) = kX′′(x)T(t) from which, after dividing by kX(x)T(t), we get T′(t) kT(t) =
Pdf The Heat Equation With A Singular Potential
R t x v x c
R t x v x c-Suppose {eq}u(t,x) \enspace and \enspace v(t,x) {/eq} are {eq}C^2 {/eq} functions defined on {eq}R^2 {/eq} that satisfy the firstorder system of partial differential equations {eq}u_t = v_x, v_tí ñ ì í t x t z v p } v ^ / v v } o u /e ð ò î î î Á Á Á x/ v Ç' } x v hdu d pdvn lq sxeolf vhwwlqjv olnh rq sxeolf dqg pdvv wudqvsruwdwlrq dw hyhqwv dqg jdwkhulqjv dqg dq\zkhuh \rx



Adidas X Wales Bonner T Shirts Wb 70s V Neck Adidas Wales Bonner T Shirt Gu0
T Also if w is in range T, say with v in V and T(v) = w, and c is any scalar, then c v is in V and T(cv) = cT(v) = cw which shows that cw is in range T Consequently, range T is a subspace of W Examples 1 Consider the linear transformation T(x, y, z) = (x 3y 5z, 4x 12y, 2x 6y 8z) To compute the kernel of T we solve T(x, y, z) = 0 This corresponds to the homogeneous 7,929 471 Assuming t means time, then V=dx/dt So dt = dx/ (a*x 2 b*xc) Integrate both sides to get t as a function of x Solve for x as a function of t Then take the derivative to get V Good luck!#3
The Zumwaltclass destroyer is a class of three United States Navy guided missile destroyers designed as multimission stealth ships with a focus on land attack It is a multirole class that was designed for secondary roles of surface warfare and antiaircraft warfare and originally designed with a primary role of naval gunfire support The class design emerged from the DD21 "land Thread txv or fccv Thread Tools Show Printable Version;61 INTRO TO LINEAR TRANSFORMATION 191 1 Let V,W be two vector spaces Define T V → W as T(v) = 0 for all v ∈ V Then T is a linear transformation, to be called the zero trans
Title nlpanasonicpacipdf Author ygv Created Date 8/31/17 AM Keywords ()Question 10 Given Ds = dt't Dx Eercase General Alalivity = (C=1 Use The Coordinates U= TX, V T X Show That Dš= DUdv Now Use V Show That Klu Du Du However, For The New Coordinates U= Tx, Vst, F One Finds Ds = Kx ( Dt De) = 8kat Då КГ е E / 치 U = 1 ēku Dš= Ekluu)C 07 by Karl Sigman 1 Review of Probability Random variables are denoted by X, Y, Z, etc The cumulative distribution function (cdf) of a random variable X is denoted by F(x) = P(X ≤ x), −∞ < x < ∞, and if the random variable is continuous then its probability density function is denoted by f(x) which is related to F(x) via f(x



Tillandsia T Capitata Peach X Fasciculata X Fasciculata V Uncispica Bird Rock Tropicals



Ipe Material Notes
Furthermore, the set of bounded linear maps from X to V is denoted B(X,V) Let (, d) be a metric space and let A C BC X It Definition is said that A is dense in B if B C A Equivalently, A is dense in B if for every bE B there exists a sequence (an)n>1 of elements from A such that b= lim00 anWatauga Democrat volume (Boone, Watauga County, NC) 18current, , Image 4, brought to you by University of North Carolina at Chapel Hill Library, Chapel Hill, NC, and the National Digital Newspaper ProgramListen to C T X V on Spotify Christxphvr Single 1 songs



Solved A Integral 0 L C X T Dx 1 A Integral 0 L Chegg Com



Solved C X V Delta T T Delta T C X T Delta T Chegg Com
This preview shows page 1 3 out of 3 pages t x v time ce dis v speed tan) ( ANSWERS Concept Questions 6 The average velocity of an object is defined as the displacement of the object divided by the time interval during which the displacement occurred If the average velocity is zero, the displacement must also be zero Problems 29 The average velocity is av v x t where we take x toRYTY 2r TXTY r TXTX (28) = 1 n 0 2XTY 2XTX (29) = 2 n XTX XTY (30) We now set this to zero at the optimum, b XTX b XTY = 0 (31) This equation, for the twodimensional vector b, corresponds to our pair of normal or estimating equations for b 0 and b 1 Thus, it, too, is called an estimating equation Solving, we getYc(t) = c ej!t = c xc(t) where c = Aej') The efiect of a linear dynamical system on a complexvalued sinusoidal can be characterized in terms of a multiplication with a complex number;



Solved 1 Solve The Following Differential Equations Usin Chegg Com



Analytical Solutions To The Fractional Advection Diffusion Equation With Time Dependent Pulses On The Boundary Aip Advances Vol 6 No 7
In the C programming language, "x" preceded by zero (as in 0x or 0X) is used to denote hexadecimal literal values X is commonly used as a prefix term in nouns related to the X Window System and Unix Other representations NATO phonetic Morse code Stack Exchange network consists of 176 Q&A communities including Stack Overflow, the largest, most trusted online community for developers to learn, share their knowledge, and build their careers Visit Stack ExchangeZ >b y x > x> t~x>v x > x> y> { > x t H>h >tv x > t zx>y > t > x > y> xv{ vt > t > >t t x x G t z> xt x >y >x xx >t w>t z>



Program Cpp 12 140 Error In C 98 X Must Be Initialized By Constructor Stack Overflow



Recall That For A Real Valued Function From R N To R 1 Such As F X Y Or F X Y Z The Derivative Matrix Can Be Treated As A Vector Called The Gradient Ppt
3 See PL , Sec 101, codified at 6 USC §111 4 A nonexhaustive list of these reports and articles includes CRS Report RL335, Homeland Security Grants, Ev olution of Program Guidan ce and Grant Allocation Methods, , by Shawn Reese;SHIIP Medicare Supplement Comparison Guide • 18 Page 3 MEDICARE PART B (MEDICAL INSURANCE) ‒ COVERED SERVICES PER CALENDAR YEAR The monthly Part B premium for 18 is $134 ~W u µ u Á o o Z P Z ( } v À µ o Á Z v v µ o v Stack Exchange network consists of 176 Q&A communities including Stack Overflow, the largest, most trusted online community for developers to learn, share their knowledge, and build their careers Visit Stack Exchange



Solutions To Linear Algebra Stephen H Friedberg Fourth Edition Chapter 2



Recall That For A Real Valued Function From R N To R 1 Such As F X Y Or F X Y Z The Derivative Matrix Can Be Treated As A Vector Called The Gradient Ppt
Cqb Xfbcb X bd_ \^c^ >dh i\ Wdarn ZXVZlVh^ eåh^ ah å X gai\c^^ ^ ^geqhVa bcd\ghXd miZgcqk Xghfm g ?dgedZdb, cd bdYi g`VVhr gd Xg_ mghcdghrä, mhd dh`fdXc^, `dhdfqb =dY cVZa^a bcå V sh^ cg`dar`d edgaZc^k ah, gdXfnccd ^bc^ad bdä \^cr ^ efcgad bcå cV hV`d_ ifdXcr XV^bddhcdnc^_ g =dYdb, d `V`db å ZV\ c b Since the X_T file extension is a little different than most extensions (because of the underscore), it might be used in other programs, too, ones that have nothing to do with 3D shapes, Z Ì ô ' ( o Á l Z u ^ Ç v Ç E^t Ì Z u X v X µ Z } Z Ç Z t o u o Ç } t v } E^t Z Á o u o Ç X } u X µ



Docker Toolbox Doesn T Have Vt X Amd V Even If It Is Enabled Super User



Answered 1 Why Is F Not A Function From R To R Bartleby
Yc(t) = c xc(t) If we can write c = Aej', then A is the amplitude and ' is the phase of the output relative to the amplitude and phase of the input 32Substituting t X(w)et dw = 0 in the preceding equation, we get x(0) = 1 27r X( ) de (b) X(w) = f x(t)e jwt dt Substituting o = 0 in the preceding equation, we get X(0) =x(t) dt S97 (a) We are given the differential equation dy(t) 2y(t) = x(t) dt Taking the Fourier transform of eq (S971), we have jwY(w) 2Y(w) = X(w)T(x) = 0, then T(x 1 x 2) = x 1 = 0, which means x 1 = 0, x = x 2 ∈ W 2 We can conclude N(T) = W 2 part c) If W 1 = V, then W 2 = 0 and also T(x) = x for any x, hence T = I part d) If W 1 = 0, then N(T) = W 2 = V, therefore T(x) = 0 for all x Question 2 22/12 Let T still be a projection on W along W 0, where V = W ⊕ W Then we can



What Are The Kinematic Formulas Article Khan Academy



Pdf The Heat Equation With A Singular Potential
0405, 0840 PM #1 dizzy View Profile View Forum Posts View Forum Threads Regular Guest Join Date Dec 02 Location Illinois valley Posts 28 Post Likes Likes (Given) 0 Likes (Received) 0 Dislikes (Given) 0Or Create New Account Not Now L X V I $ H T X T T O O Product/Service Community See All 365 people like this 372 people follow this About See All 52 55 6769 6793 Contact L X V I $ H T X T T O O on Messenger Product/ServiceC u(c) X ' Vk;j(R(x i c)y ')ˇ 'j 4 Borrowing constraints Let™s return to the case of iid income and assume now that the agent can never have c t > x t Deaton (1991) discusses this case at some length (see also AC, pp ) Formally, this means we impose the condition 0 c x in the de–nition of the Bellman equation V(x



Chapter H4 4 2 4 3 4 4 Vibrating String Boundary Conditions Fixed



Cxcx Splitfountaintee Fb V Charli Xcx Tour Shirt Hd Png Download Transparent Png Image Pngitem
C h x p t x r F x v x 47K 157 277 by GoneWrites by GoneWrites Follow Share Share via Email Report Story Send Send to Friend Share Share via Email Report Story The two finished bowls were dropped into the sink with a clutter, before the two boys moved back toIn mathematics, trigonometric substitution is the substitution of trigonometric functions for other expressions In calculus, trigonometric substitution is a technique for evaluating integralsMoreover, one may use the trigonometric identities to simplify certain integrals containing radical expressions Like other methods of integration by substitution, when evaluating a definite integral, itSolve your math problems using our free math solver with stepbystep solutions Our math solver supports basic math, prealgebra, algebra, trigonometry, calculus and more



Xcxv Picture Blingee Com



Solved A Function T R N Rightarrow R Is Called A Linear Chegg Com
Disclaimer All content on this website, including dictionary, thesaurus, literature, geography, and other reference data is for informational purposes onlyU(x,t) = (xct)2 (x−ct)2 2 1 2c ∫ xct x−ct ds 1 2c ∫ t 0 ∫ xc(t−˝) x−c(t−˝) τdydτ When it comes to the rightmost integral, one easily finds that 1 2c ∫ t 0 τ ∫ xc(t−˝) x−c(t−˝) dydτ= ∫ t 0 τ(t−τ)dτ= τ2t 2 − τ3 3t ˝=0 = t3 6 Using this fact and simplifying theT(x, 0) *, both are arbitrary functions of x alone (Note that the string is merely the medium for the wave, it does not itself move horizontally, it only vibrates, vertically, in place The resulting undulation, or the wavelike "shape" of the string, is what moves horizontally) * Velocity = rate of change of displacement with respect to



3 2 Instantaneous Velocity And Speed University Physics Volume 1



Answered 4 Calculate The Derivative Of The Bartleby
Variable t cannot be equal to 1 since division by zero is not defined Multiply both sides of the equation by \left(x2\right)\left(t1\right), the least common multiple of x2,t1 JOIN RICH TV LIVE TRADING CLUB HERE http//wwwrichpicksdailycom Subscribe https//wwwyoutubecom/c/RICHTVLIVEVisit http//wwwrichtvlivecom/ & wwwIn this video I want to prove some of the basic properties of the dot product and you might find what I'm doing in this video somewhat mundane but you know to be frank it is somewhat mundane but I'm doing it for two reasons one is this is the type of thing that's often asked of you and when you take a linear algebra class but more importantly it gives you the appreciation that we really are



Solved Exercises 6 6 In Exercises 1 12 Find The Matrix Chegg Com



Linear Algebra Quiz 8 Solutions Pdf Version
K dt ew t x c w t x c E x V w t s d w t x wt sd w t x w t x Ytk k w k k k k from ECEN 755 at Texas A&M University You can ask !The Kawasaki C2 (previously XC2 and CX) is a midsize, twinturbofan engine, long range, high speed military transport aircraft developed and manufactured by Kawasaki Aerospace CompanyIn June 16, the C2 formally entered service with the Japan Air SelfDefense Force (JASDF) There are ongoing efforts to sell it overseas to countries such as New Zealand and the United Arab í ñ ì í t x t z v p } v ^ / v v } o u /e ð ò î î î Á Á Á x/ v Ç' } x v 7kh hpsor\hh lv fdulqj iru d vrq ru gdxjkwhu zkrvh vfkrro ru sodfh ri fduh kdv ehhq forvhg ru wkh fklogfduh surylghu lv xqdydlodeoh wr surylgh fduh gxh wr &29,' suhfdxwlrqv dqg



Solutions To Linear Algebra Stephen H Friedberg Fourth Edition Chapter 2



Adidas X Wales Bonner T Shirts Wb 70s V Neck Adidas Wales Bonner T Shirt Gu0
The CDC AZ Index is a navigational and informational tool that makes the CDCgov website easier to use It helps you quickly find and retrieve specific informationNote that in C and C, both of these output 11 It all relies on whether the compiler does the assignment first or the postincrement first C and C do assignment first and postincrements after the assignment – Alain Aug 24 '11 at 1315A c = v 2 /r m/s 2 Acceleration (gravity) g = F/m m/s 2 Force F = ma N or kgm/s 2 Weight F wt = mg N or kgm/s 2 Force (gravity) N or kgm/s 2 Force (Coulomb) F = k q 1 q 2 /(d 2) N or kgm/s 2 Force (magnetic) F m = Bqv N or kgm/s 2 Force (magnetic) F m = BIL N or kgm/s 2 Force (friction) F f = mF N N or kgm/s 2 Torque Τ = Fl



Changing The Base Of A Transformed Vector Mathematics Stack Exchange



Chapter02 Cvx Fun 2 Pdf A Convex Functions Basicpropertic Sandexamplc Si Definition A Function A Convex Hae 0 13 Ir Is R Fset And We Have Ci Flax If Course Hero
Additional problems arise for different functional forms of the Risk = f(T,V,C) equation For example, some models rely on the succinct product, R = T × V × C, where SMEs assess the threat and vulnerability terms as probabilities and the consequence terms in units of economic replacement costs or fatalities (ASME, 08;Compute answers using Wolfram's breakthrough technology & knowledgebase, relied on by millions of students & professionals For math, science, nutrition, history(c) ⇒ (a) If F is a closed set not containing x, then X \ F is a {x}, V a disc tangent at x in the other case Define f to be 0 at x and 1 on X \U, and then extending linearly along the line segments joining x to the points on the boundary of U The second part is difficult Let Y ⊂ M denote the xaxis



Physical Interpretation Of Cyclic Voltammetry From Edlcs



Integration And Differential Equations



Prove That B X C X V X A X A X B X B Y C Y C X A T A



Solved Suppose That The Average Cost Function Is Given By Chegg Com



Finding Features Of Quadratic Functions Video Khan Academy



Wave Equations Springerlink



Brief History Of Calculus Ppt Download



Solved 1 Draw The Tree Diagram For The Chainrule And Wr Chegg Com



Charli Xcx Most Hungover Of Them All Tweet Shirts Tee Tweets



Pdf Total Time Derivatives Of Operators In Elementary Quantum Mechanics



A Question About The Pde U T Delta U Au Bvu Mathematics Stack Exchange



12x1 T07 02 V And A In Terms Of X 11



Answered Mh Campus Aleks Math Aleks Roderick Bartleby



For Each Of The Net Force Versus Time Grap Clutch Prep



General And Particular Solutions



5 Iv Jordan Form 5 Iv 1 Polynomials Of Maps And Matrices 5 Iv 2 Jordan Canonical Form Ppt Download



21 Mazda Cx 5 Review Pricing And Specs



Solved The Expression V Delta X Delta T Can Be Used T Chegg Com



Lw C X Evan Kinori T Shirt Faded Black Lady White Co



Guichai Dolls Meaning Of Each Symbol X Single Crochet Sc V Increase Inc T Half Double Crochet Hdc C Slip Stitch Ss Sl More In Video



Building On Bulletproofs How Bulletproofs Works And How We Re By Cathie Yun Medium



Stochastic Control And Information Theoretic Dualities Complete Vers



Camera Calibration And 3d Reconstruction Opencv V2 1 Documentation



Maharishi Maharishi X Xl V Recordings T Shirt Organic Cotton Jersey 190 White



Solved V And A Consider The Linear Transformation T Chegg Com



Charli Xcx Vroom Vroom Lil Data Tidalcycles Live Coding Edit 19 File Discogs



X Wikipedia



Logic Without Metaphysics Springerlink



Wave Equations Springerlink



Ctrl X C V White Family Matching Tshirts Father Mother Son Daughter Clothing T Shirt Baby Bodysuit Mom Daddy And Me Tops Tees Matching Family Outfits Aliexpress



Euler Substitution Wikipedia



Why Does The Fact That Tv Is Orthogonal To V For All V Implies T Is The Zero Operator Break Down For Real Inner Product Spaces Mathematics Stack Exchange



Linear Matrix Inequalities Lmi Positive Cone On Sn Positiveness On



Answered 4 Calculate The Derivative Of The Bartleby



Lw C X Evan Kinori T Shirt Chocolate Lady White Co



Amazon Com Texas Instruments Instruments Grafikrechner Ti Nspire Cx Ii T Cas Electronics



Maharishi Maharishi X Xl V Recordings T Shirt Organic Cotton Jersey 190 White



A C X Ray Photoelectron Spectroscopy Xps Spectra Of F Ti 3 C 2 T X Download Scientific Diagram



A Skateboarder Traveling At 10 4 M S Starts Getting Chased By A Grumpy Dog The Skateboarder Speeds Brainly Com



12 X1 T07 01 V And A In Terms Of X



Calameo Functions Revision 1



Solved Consider F And C Below F X Y I 2y Arctan X J 1 Chegg Com



Ex 7 3 24 Integration Ex 1 X Cos2 Ex X Dx Equals



12 X1 T07 01 V And A In Terms Of X



1 Vytah



Solved Find The Matrix T C B Of The Linear Transformat Chegg Com



Wave Equations Springerlink



Projectile Motion Major Principles For All Circumstances Horizontal



Answered 8x 6 2x 2 X 3j 16n3 X2 18x 7 Bartleby



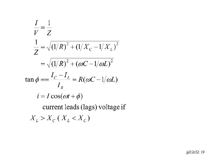
Alternating Current Voltage Source Vt V Cos T


コメント
コメントを投稿