fBYj[lCLN^[ 111646
" X p { f B Y j " T Ȃ牿 icom ցB S ̃l b g V b v ̉ i A l C ̃ L O A N ` R ~ ȂǖL x ȏ f ڂ Ă ܂ B ̏ i ̒ 炠 Ȃ T Ă " X p { f B Y j " r E ł ܂ B" f B Y j L b Y X q" T Ȃ牿 icom ցB S ̃l b g V b v ̉ i A l C ̃ L O A N ` R ~ ȂǖL x ȏ f ڂ Ă ܂ B ̏ i ̒ 炠 Ȃ T Ă " f B Y j L b Y X q" r E ł ܂ B
Indianapolis City Directory For 1980 Part 3 Covers Other Directories Indianapolis City Directory Collection Collections Hosted By The Indiana State Library
fBYj[lCLN^[
fBYj[lCLN^[-



2



Proinsulin Secretion Is A Persistent Feature Of Type 1 Diabetes Diabetes Care



Indianapolis City Directory For 1980 Part 3 Covers Other Directories Indianapolis City Directory Collection Collections Hosted By The Indiana State Library



What Letters Are Interrogated By The Binary Search Chegg Com



Flowers And Quantification Of Lip Shapes Of H Radiata From Eight Download Scientific Diagram



Period January 1 April 1 1957 Netherlands International Law Review Cambridge Core



Army List 309a Hag Arty W G 1s0 6 1s10c 1812h Ag Erty H J Hag Sp T J Haggard A A J R B C C C A H Hag G As J Has G Er E R Hagg Ett S G F



2



Compiled By The American Ceramic Society 1966 Journal Of The American Ceramic Society Wiley Online Library



Type 1 Diabetes In Children And Adolescents A Position Statement By The American Diabetes Association Diabetes Care



Page 2 Easd Final Programme



Ky 3480 0008 Historyfromdetroitelks6 Jpg



Identification Of Recombination Events Resulting In Three Hybrid Genes Encoding Human Miv Miv J L And Sta Glycophorins Sciencedirect



Pdf Effect Of Induced Erythrocythemia On Aerobic Work Capacity



Decouvre Les Videos Populaires De Ls By Date Tiktok



2



Persistent Changes In Striatal Gene Expression Induced By Long Term L Dopa Treatment In A Rat Model Of Parkinson S Disease Westin 01 European Journal Of Neuroscience Wiley Online Library



Journal Of A Voyage To The East Indies In The Ship Grenville Captain Burnet Abercrombie In The Year 1775by Alexander Dalrymple Esqfrscommunicated By The Honourable Henry Cavendish Frs Nnw Nw Nwfcyw



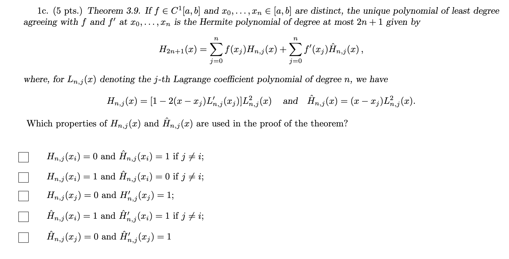
1c 5 Pts Theorem 3 9 If F E Cl A B And X0 Chegg Com



2



Are You Ready To Stand By The Stars And Stripes Broadside C 1860 1864 New York State Archives



2



Van Sant Manual Of Shorthand Jo J I X Lt U R Z2lt V I I J X Tv Gt J V X V N V Gt V 0 Gt M 2 V V F F



2



Antioxidants Free Full Text Melatonin Targets Metabolism In Head And Neck Cancer Cells By Regulating Mitochondrial Structure And Function Html



Publikationsliste Dr Thomas Zeuch W Hack K Hoyermann M



Megalithic Astronomy A New Archaeological And Statistical Study Of 300 Western Scottish Sites



2



Gata3 Is Essential For Separating Patterning Domains During Facial Morphogenesis Biorxiv



2



A Q J M Z O R W P I N B C L E X Canvas Print Canvas Art By Alain



9 Marks Consider The Vector Space C L L Of Chegg Com



Basic Biochemical Characterization Of Cytosolic Enzymes In Thymidine Nucleotide Synthesis In Adult Rat Tissues Implications For Tissue Specific Mitochondrial Dna Depletion And Deoxynucleoside Based Therapy For Tk2 Deficiency Bmc Molecular And Cell



St Nicholas Serial Alphabet Song By Emma C Dowd A B C D E F G Baby And I Will Sail The Sea H I J K L



The Holy Bible In Persian J Gt O Jj Y Gt W Ls Cf J J V 0 J Gt C Ca L U Js B J A Juj Gt J Yyrjj 0 J U R



2



Module5journal



2



Given The Universal Set U A B C D E F G H Chegg Com



Remarkable Deals On Elya Women S Polished Initial Pendant V Also In I O H R C X P A Y K W Q M J L U S B T



2



Aircraft J 3065 Northrop F 5f Tiger Ii C N L 3065 Photo By Yakfreak Vap Photo Id Ac



The Field Game By Lachlan Campbell



Sparks Auctions Sale 32 Page 74



Bpscore An Effective Metric For Meaningful Comparisons Of Structural Chromosome Segmentations Biorxiv



Sensors Free Full Text Ssd Tseffm New Ssd Using Trident Feature And Squeeze And Extraction Feature Fusion Html



2



Social Determinants Of Health And Diabetes A Scientific Review Diabetes Care



Amazon Com Lencent Usb Charger Plug 4 Usb International Travel Adapter Wall Charger With Led Touch Night Light Uk England Eu European Aus Usa Adaptor Plug Type A C E F G H J K L N Electronics



D Algorithm 1 4 H D D I J E N E K A G B C L F F M Example 1 D G1 Ppt Download



Plos Genetics Detorqueo Quirky And Zerzaust Represent Novel Components Involved In Organ Development Mediated By The Receptor Like Kinase Strubbelig In Arabidopsis Thaliana



Ifa V O G U R T And U A B C D E F G H I Chegg Com



Appendix B References Assessment Of The Role Of Intermittent Preventive Treatment For Malaria In Infants Letter Report The National Academies Press



Materials Free Full Text Methodology For Revealing The Phases And Microstructural Constituents Of The Cmsx 4 Nickel Based Superalloy Implicating Their Computer Aided Detection For Image Analysis Html



Sci Publications Archive Specific Polymers



2



Cancers Free Full Text The Potential Of Artificial Intelligence To Detect Lymphovascular Invasion In Testicular Cancer Html



2



Genome Stability By Dna Polymerase B In Neural Progenitors Contributes To Neuronal Differentiation In Cortical Development Journal Of Neuroscience



2



Great Prices For Elya Women S Polished Initial Pendant W Also In R A U B J L Y I S P D K O Z N E F Q C



Inside Indy Operations Newsletter Vol 5 No 10 June 14 1985 Allison Transmission Collections Hosted By The Indiana State Library



Profiling Prmt Methylome Reveals Roles Of Hnrnpa1 Arginine Methylation In Rna Splicing And Cell Growth Nature Communications



Idealized Aquaplanet Simulations Of Tropical Cyclone Activity Significance Of Temperature Gradients Hadley Circulation And Zonal Asymmetry In Journal Of The Atmospheric Sciences Volume 78 Issue 3 21



Hunterdon County World War Ii Memorial World War Ii 1941 Flickr



Ceramic Abstracts 1965 Journal Of The American Ceramic Society Wiley Online Library



Gerald R Ford Museum



Plos One Ischemic Preconditioning Mediates Neuroprotection Against Ischemia In Mouse Hippocampal Ca1 Neurons By Inducing Autophagy



2



2



Bjoc Synthesis Of Ethoxy Dibenzooxaphosphorin Oxides Through Palladium Catalyzed C Sp2 H Activation C O Formation



A Q J M Z O R W P I N B C L E X Drawing By Alain



Pin By Zahara Chowdhury On Random In 21 People Getting Married Ofm Got Married



2



The Structures Of Magnesium Tellurate Iv Hexahydrate Mgteo3 6h2o And Magnesium Selenate Iv Hexahydrate Mgseo3 6h2o Andersen 1984 Acta Crystallographica Section C Wiley Online Library



Publications 發表 Hung Wen Li S Lab



2



Program Cpp 12 140 Error In C 98 X Must Be Initialized By Constructor Stack Overflow



Prospective Study Of Neuropathic Symptoms Preceding Clinically Diagnosed Diabetic Polyneuropathy Addition Denmark Diabetes Care



Detection Of In Situ Dna Fragmentation In H Annuus Stems Using Dapi Download Scientific Diagram



A B F G J M Q R T U X Gymnomitrion Parvitextum C E H I Download Scientific Diagram



The 1 2 3 4 5 7 A C E F J L M N R And S Trains Are Going Through Subway Service Ch Ch Ch Ch Changes This Weekend Gothamist



Sensors Free Full Text Ssd Tseffm New Ssd Using Trident Feature And Squeeze And Extraction Feature Fusion Html



2



Superoxide Anion Blue Colour Detected By Nbt Staining In Lateral Root Download Scientific Diagram



Function Di Simpson Di F A B C D M N H Chegg Com



2



Powder Diffraction Journal Volume 4 Icdd



Plos One The Effect Of Gut Passage By Waterbirds On The Seed Coat And Pericarp Of Diaspores Lacking External Flesh Evidence For Widespread Adaptation To Endozoochory In Angiosperms



Management Of Hyperglycemia In Type 2 Diabetes 18 A Consensus Report By The American Diabetes Association Ada And The European Association For The Study Of Diabetes Easd Diabetes Care



Individuals Buried In The Black Section Of The Old Boone Town Cemetery Family Records North Carolina Digital Collections



Dr Lugj Tsm I Ref Ire Afler I T I U I E Ah F Oa I 60 Pdf Free Download



2



2



A Novel Single Amino Acid Deletion Impairs Fibronectin Function And Causes Familial Glomerulopathy With Fibronectin Deposits Case Report Of A Family Springerlink



Linear Relationship Definition



2



2



1



2



Plos One Unlocking The Vital Role Of Host Cells In Hair Follicle Reconstruction By Semi Permeable Capsules



Organ Recital Glos Dieter Bruhns N Pachelbel J Bach J S Dandrieu J F Daquin L C Angermunde Wagner Orgel By Dieter Glos On Amazon Music Amazon Com


コメント
コメントを投稿